vsport化学与环境工程学院毛艳萍课题组在期刊《Environmental Science and Ecotechnology》(影响因子12.6,中科院JCR 1 区)上发表了题为《Enhanced nitrate reduction in hypotrophic waters with integrated photocatalysis and biodegradation》的论文。vsport化学与环境工程学院硕士研究生薛冰洁和田里为论文共同第一作者,vsport化学与环境工程学院为第一署名单位。

目前,氮污染对水环境和人体健康造成了极大威胁,城镇污水处理厂常利用反硝化菌进行硝酸盐的还原,以达到脱氮的目的。反硝化菌多为异养微生物,对有机碳需求量大,而反硝化过程常发生在污水处理的后段,有机碳源不足在一定程度上抑制了硝酸盐的去除。尤其在当前污水处理厂提标扩能的大背景下,要求进一步提高污水脱氮效率,亟待开发新的污水处理工艺,以提升脱氮效果。
光催化与生物降解紧密耦合技术(Intimatelycoupling of photocatalysis and biodegradation, ICPB)结合了光催化反应和微生物处理的优点,是一种新型的去除生物难降解污染物的技术,研究表明ICPB对硝酸盐具有较好的还原效果。然而,ICPB在低碳条件下还原硝酸盐的效果尚不明确,其微生物代谢机制及菌群结构功能变化需进一步研究。因此,本研究制备了促进硝酸盐光催化反应的催化剂,驯化了稳定高效的生物膜构建ICPB体系。利用物化表征测试手段和分子生物学方法探究不同影响因子对ICPB去除硝酸盐的效果,揭示低碳条件下系统中光催化与微生物降解的协同作用机理,阐明微生物的菌群结构和功能变化规律,为低碳水体中硝酸盐的还原提供了科学依据和技术支持。

图1 ICPB载体和反应器示意图
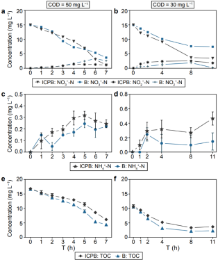
本研究共制备了12种光催化剂,其中以硫脲作为前驱体制备的g-C3N4,与TiO2以1:2比例复合制备的TiO2/g-C3N4具有最好的硝酸盐还原效率。形貌表征结果证实了g-C3N4与TiO2的有效结合,且该催化剂具有最低的光生载流子复合速率和最窄的禁带宽度,为其优异的光催化性能提供了保障。使用该催化剂搭建ICPB反应器用于还原硝酸盐,发现与传统生物降解相比,ICPB可以将硝酸盐还原效率提高17%,氮转化效率提高11%。在低有机碳条件下,ICPB利用比生物降解少12.2%的有机碳,能将硝酸盐还原率提高26.3%。此外,ICPB还能有效提高氮气生成效率,抑制不良中间产物的积累。

图2 十二种光催化剂的硝酸盐还原曲线
(T:硫脲;M:三聚氰胺;D:二氰二胺;U:尿素;比例为TiO2: g-C3N4)

图3 ICPB和生物降解(B)过程中NO3−, NO2−(a, b), NH4+(c, d) 和 TOC (e, f)的浓度变化
通过对细菌群落的多样性分析发现,在ICPB反应后微生物群落的丰富度和均匀度下降,功能性细菌可能被富集。通过微生物群落分析发现,随着ICPB循环次数的增加,在氮循环中起重要作用的菌属逐渐占据主导地位。此外,系统中的厌氧代谢逐渐取代了好氧代谢。系统的微生物群落朝有利于硝酸盐还原的方向演变。

图4 ICPB反应前后相对丰度大于1%的优势菌属
为进一步探索微生物群落中氮代谢功能的变化,本研究分析了与氮循环相关的代谢通路与功能基因,发现ICPB反应后与氮循环相关的代谢通路和功能基因丰度均显著增加(图5)。此外,本研究还推断了ICPB系统中可能存在的硝酸盐代谢途径(图6)。通过对反硝化代谢相关基因的定量分析,ICPB系统在基因水平上对氮的去除潜力得到了证明,这有利于进一步研究ICPB的反硝化机制。

图5 ICPB反应前后与氮循环相关的代谢通路和功能基因变化

图6 ICPB体系氮代谢通路模型
本研究得到了广东省自然科学基金、深圳市自然科学基金(高等院校稳定支持计划)的支持。
原文链接:https://www.sciencedirect.com/science/article/pii/S2666498424000048